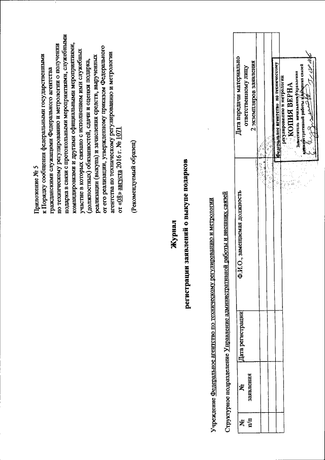
Приказ Федерального агентства по техническому регулированию и метрологии от 08.08.2016 № 1071
"Об утверждении Порядка сообщения федеральными государственными гражданскими служащими Федерального агентства по техническому регулированию и метрологии о получении подарка в связи с протокольными мероприятиями, служебными командировками и другими официальными мероприятиями, участие в которых связано с исполнением ими служебных (должностных) обязанностей, сдачи и оценки подарка, реализации (выкупа) и зачисления средств, вырученных от его реализации"
(Зарегистрирован 05.09.2016 № 43563)
"Об утверждении Порядка сообщения федеральными государственными гражданскими служащими Федерального агентства по техническому регулированию и метрологии о получении подарка в связи с протокольными мероприятиями, служебными командировками и другими официальными мероприятиями, участие в которых связано с исполнением ими служебных (должностных) обязанностей, сдачи и оценки подарка, реализации (выкупа) и зачисления средств, вырученных от его реализации"
(Зарегистрирован 05.09.2016 № 43563)
Номер опубликования: 0001201609060028
Дата опубликования:
06.09.2016
