Приказ Министерства транспорта Российской Федерации от 21.07.2016 № 204
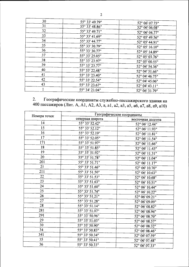
"Об утверждении пределов воздушного грузо-пассажирского постоянного многостороннего пункта пропуска через государственную границу Российской Федерации в международном аэропорту Нижнекамск (Бегишево) (Республика Татарстан)"
(Зарегистрирован 17.08.2016 № 43274)
"Об утверждении пределов воздушного грузо-пассажирского постоянного многостороннего пункта пропуска через государственную границу Российской Федерации в международном аэропорту Нижнекамск (Бегишево) (Республика Татарстан)"
(Зарегистрирован 17.08.2016 № 43274)
Номер опубликования: 0001201608170037
Дата опубликования:
17.08.2016
