Официальное опубликование правовых актов
ОФИЦИАЛЬНОЕ ОПУБЛИКОВАНИЕ
Приказ Министерства природных ресурсов и экологии Российской Федерации от 10.05.2016 № 285
"Об утверждении Положения о национальном парке "Нижняя Кама"
(Зарегистрирован 13.07.2016 № 42822)
Номер опубликования: 0001201607140049
Дата опубликования: 14.07.2016
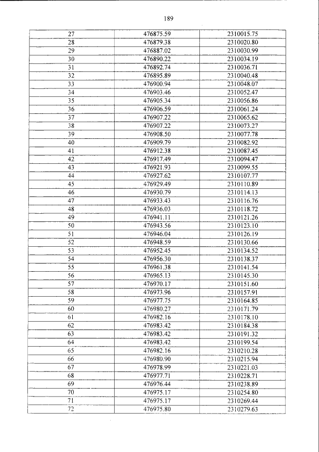
Страница №199 из 275:
Увеличить