Официальное опубликование правовых актов
ОФИЦИАЛЬНОЕ ОПУБЛИКОВАНИЕ
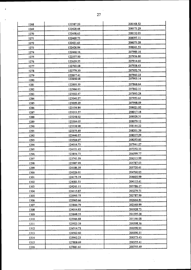
Приказ Министерства природных ресурсов и экологии Российской Федерации от 06.04.2016 № 191
"Об утверждении Положения о национальном парке "Мещера"
(Зарегистрирован 24.06.2016 № 42640)
Номер опубликования: 0001201606280004
Дата опубликования: 28.06.2016
Страница №38 из 44:
Увеличить