Официальное опубликование правовых актов
ОФИЦИАЛЬНОЕ ОПУБЛИКОВАНИЕ
Приказ Министерства культуры Российской Федерации от 08.06.2016 № 1279
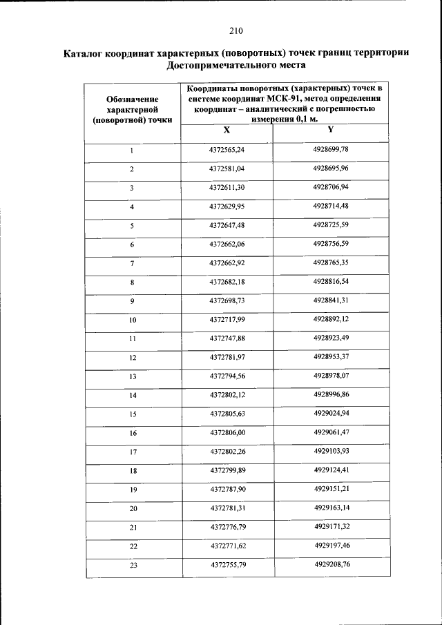
"О включении выявленного объекта культурного наследия - достопримечательное место "Древний город Херсонес Таврический и крепости Чембало и Каламита" (город Севастополь) в единый государственный реестр объектов культурного наследия (памятников истории и культуры) народов Российской Федерации в качестве объекта культурного наследия федерального значения, а также об утверждении границ его территории"
(Зарегистрирован 24.06.2016 № 42632)
Номер опубликования: 0001201606270008
Дата опубликования: 27.06.2016
Страница №210 из 365:
Увеличить