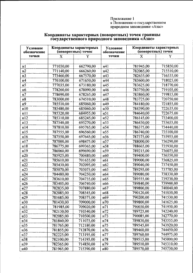
Приказ Министерства природных ресурсов и экологии Российской Федерации от 24.03.2016 № 94
"Об утверждении Положения о государственном природном заповеднике "Азас"
(Зарегистрирован 21.06.2016 № 42583)
"Об утверждении Положения о государственном природном заповеднике "Азас"
(Зарегистрирован 21.06.2016 № 42583)
Номер опубликования: 0001201606230009
Дата опубликования:
23.06.2016
