Приказ Федерального агентства научных организаций от 15.04.2016 № 17н
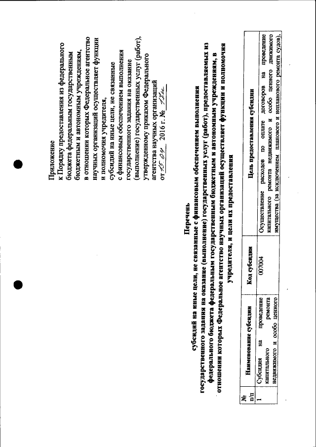
"Об утверждении Порядка предоставления из федерального бюджета федеральным государственным бюджетным и автономным учреждениям, в отношении которых Федеральное агентство научных организаций осуществляет функции и полномочия учредителя, субсидии на иные цели, не связанные с финансовым обеспечением выполнения государственного задания на оказание (выполнение) государственных услуг (работ)"
(Зарегистрирован 06.06.2016 № 42435)
"Об утверждении Порядка предоставления из федерального бюджета федеральным государственным бюджетным и автономным учреждениям, в отношении которых Федеральное агентство научных организаций осуществляет функции и полномочия учредителя, субсидии на иные цели, не связанные с финансовым обеспечением выполнения государственного задания на оказание (выполнение) государственных услуг (работ)"
(Зарегистрирован 06.06.2016 № 42435)
Номер опубликования: 0001201606080023
Дата опубликования:
08.06.2016
