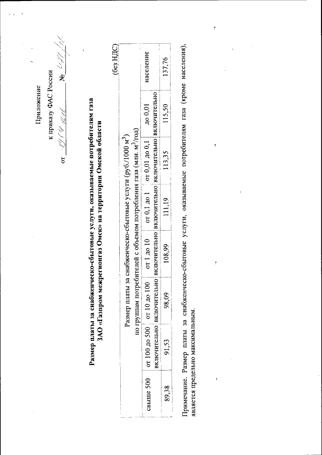
Приказ Федеральной антимонопольной службы от 19.04.2016 № 476/16
"Об утверждении размера платы за снабженческо-сбытовые услуги, оказываемые потребителям газа ЗАО "Газпром межрегионгаз Омск" на территории Омской области"
(Зарегистрирован 11.05.2016 № 42069)
"Об утверждении размера платы за снабженческо-сбытовые услуги, оказываемые потребителям газа ЗАО "Газпром межрегионгаз Омск" на территории Омской области"
(Зарегистрирован 11.05.2016 № 42069)
Номер опубликования: 0001201605130020
Дата опубликования:
13.05.2016
