Официальное опубликование правовых актов
ОФИЦИАЛЬНОЕ ОПУБЛИКОВАНИЕ
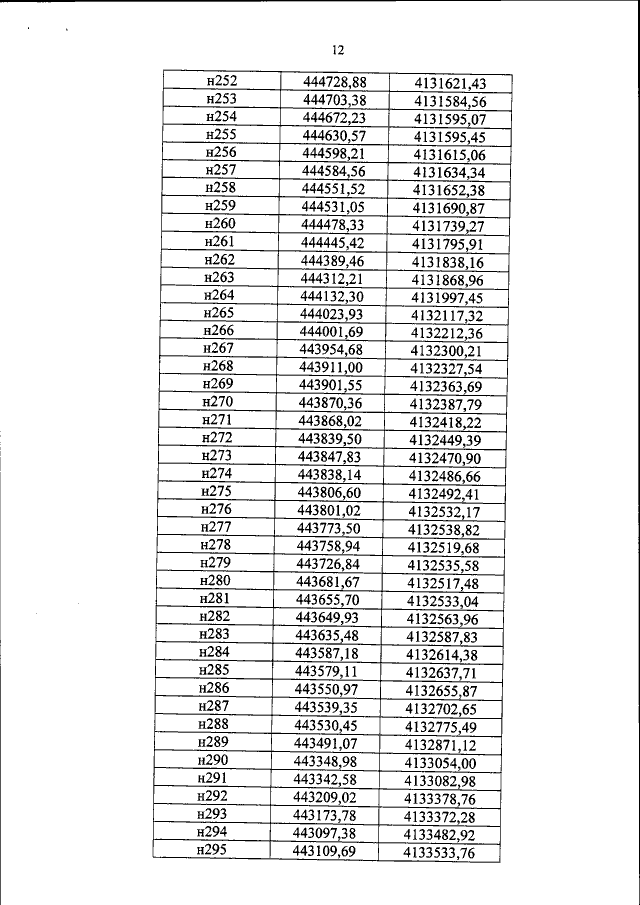
Приказ Министерства природных ресурсов и экологии Российской Федерации от 02.03.2016 № 63
"Об утверждении Положения о государственном природном заказнике федерального значения "Алтачейский"
(Зарегистрирован 31.03.2016 № 41623)
Номер опубликования: 0001201604040026
Дата опубликования: 04.04.2016
Страница №13 из 67:
Увеличить