Официальное опубликование правовых актов
ОФИЦИАЛЬНОЕ ОПУБЛИКОВАНИЕ
Приказ Министерства экономического развития Российской Федерации от 25.12.2015 № 980
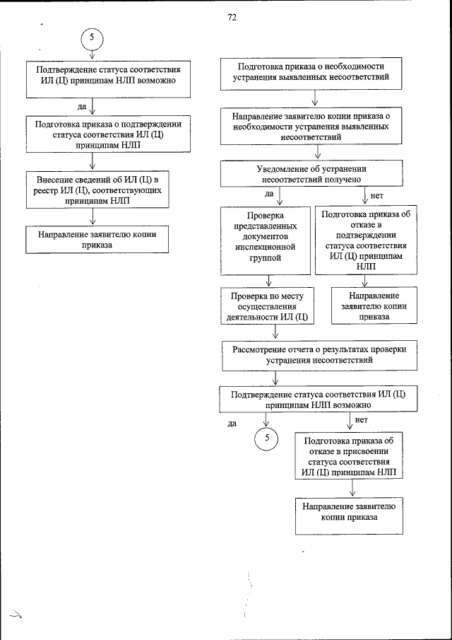
"Об утверждении Административного регламента предоставления Федеральной службой по аккредитации государственной услуги по признанию и оценке соответствия испытательных лабораторий (центров) принципам надлежащей лабораторной практики, соответствующим принципам надлежащей лабораторной практики Организации экономического сотрудничества и развития, внесению изменений в реестр испытательных лабораторий (центров), соответствующих принципам надлежащей лабораторной практики, соответствующим принципам надлежащей лабораторной практики Организации экономического сотрудничества и развития, предоставлению сведений из указанного реестра"
(Зарегистрирован 09.02.2016 № 41005)
Номер опубликования: 0001201602110023
Дата опубликования: 11.02.2016
Страница №74 из 79:
Увеличить