Официальное опубликование правовых актов
ОФИЦИАЛЬНОЕ ОПУБЛИКОВАНИЕ
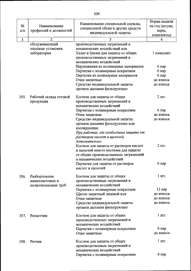
Приказ Министерства труда и социальной защиты Российской Федерации от 22.12.2015 № 1110н
"Об утверждении Типовых норм бесплатной выдачи специальной одежды, специальной обуви и других средств индивидуальной защиты работникам организаций нефтеперерабатывающей и нефтехимической промышленности, занятым на работах с вредными и (или) опасными условиями труда, а также на работах, выполняемых в особых температурных условиях или связанных с загрязнением"
(Зарегистрирован 22.01.2016 № 40725)
Номер опубликования: 0001201601270023
Дата опубликования: 27.01.2016
Страница №109 из 126:
Увеличить