Официальное опубликование правовых актов
ОФИЦИАЛЬНОЕ ОПУБЛИКОВАНИЕ
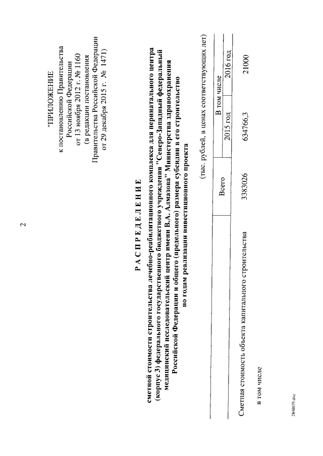
Постановление Правительства Российской Федерации от 29.12.2015 № 1471
"О внесении изменений в постановление Правительства Российской Федерации от 13 ноября 2012 г. № 1160"
Номер опубликования: 0001201512310010
Дата опубликования: 31.12.2015
Страница №3 из 4:
Увеличить