Официальное опубликование правовых актов
ОФИЦИАЛЬНОЕ ОПУБЛИКОВАНИЕ
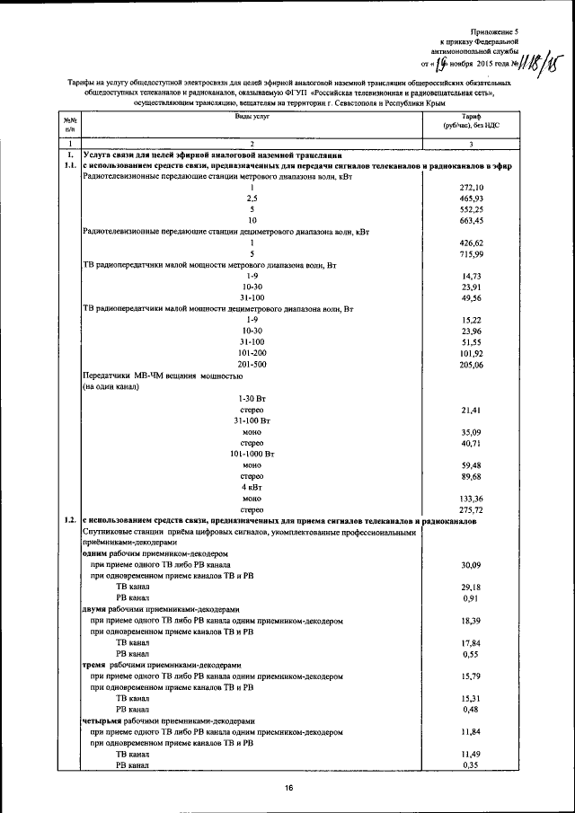
Приказ Федеральной антимонопольной службы от 19.11.2015 № 1118/15
"Об утверждении тарифов на услуги общедоступной электросвязи для целей эфирного аналогового телевизионного и радиовещания, оказываемые ФГУП "Российская телевизионная и радиовещательная сеть", осуществляющим трансляцию, вещателям"
(Зарегистрирован 17.12.2015 № 40142)
Номер опубликования: 0001201512210040
Дата опубликования: 21.12.2015
Страница №16 из 30:
Увеличить