Официальное опубликование правовых актов
ОФИЦИАЛЬНОЕ ОПУБЛИКОВАНИЕ
Постановление Правительства Российской Федерации от 26.11.2015 № 1268
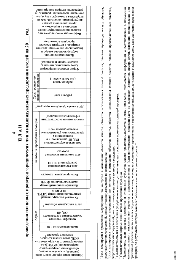
"Об утверждении Правил подачи и рассмотрения заявления об исключении проверки в отношении юридического лица, индивидуального предпринимателя из ежегодного плана проведения плановых проверок и о внесении изменений в постановление Правительства Российской Федерации от 30 июня 2010 г. № 489"
Номер опубликования: 0001201512040029
Дата опубликования: 04.12.2015
Страница №15 из 15:
Увеличить