Официальное опубликование правовых актов
ОФИЦИАЛЬНОЕ ОПУБЛИКОВАНИЕ
Приказ Федеральной службы по экологическому, технологическому и атомному надзору от 14.07.2015 № 273
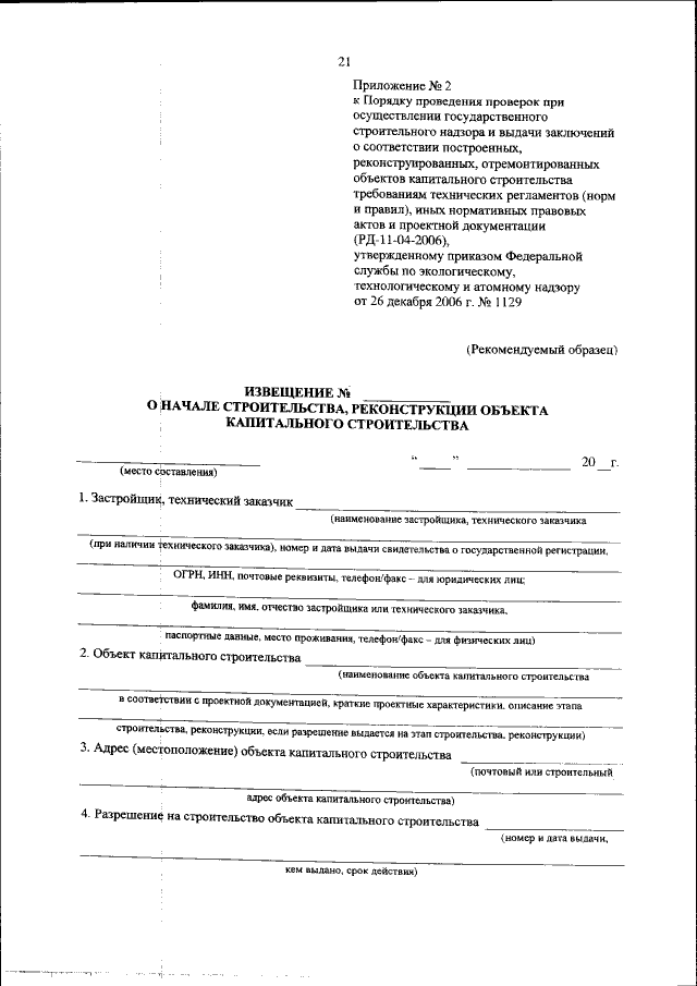
"О внесении изменений в Порядок проведения проверок при осуществлении государственного строительного надзора и выдачи заключений о соответствии построенных, реконструированных, отремонтированных объектов капитального строительства требованиям технических регламентов (норм и правил), иных нормативных правовых актов, проектной документации (РД-11-04-2006)‚ утвержденный приказом Федеральной службы по экологическому, технологическому и атомному надзору от 26 декабря 2006 г. № 1129"
(Зарегистрирован 13.11.2015 № 39707)
Номер опубликования: 0001201511180007
Дата опубликования: 18.11.2015
Страница №23 из 45:
Увеличить