Официальное опубликование правовых актов
ОФИЦИАЛЬНОЕ ОПУБЛИКОВАНИЕ
Приказ Министерства природных ресурсов и экологии Российской Федерации от 30.06.2015 № 297
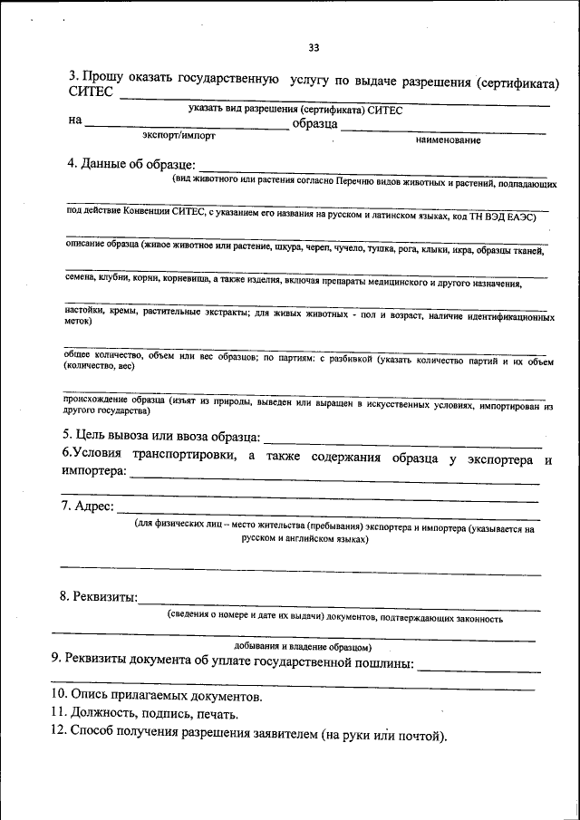
"Об утверждении Административного регламента Федеральной службы по надзору в сфере природопользования предоставления государственной услуги по выдаче разрешения на вывоз из Российской Федерации и ввоз в Российскую Федерацию видов дикой фауны и флоры, находящихся под угрозой исчезновения, их частей или дериватов, подпадающих под действие Конвенции о международной торговле видами дикой фауны и флоры, находящимися под угрозой исчезновения, от З марта 1973 г., кроме осетровых видов рыб и продукции из них, включая икру"
(Зарегистрирован 20.10.2015 № 39383)
Номер опубликования: 0001201510220038
Дата опубликования: 22.10.2015
Страница №35 из 51:
Увеличить