Официальное опубликование правовых актов
ОФИЦИАЛЬНОЕ ОПУБЛИКОВАНИЕ
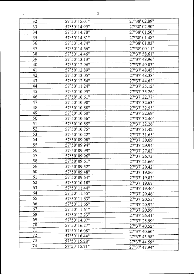
Приказ Федерального агентства по обустройству государственной границы Российской Федерации от 16.09.2015 № 223-ОД
"Об утверждении пределов железнодорожного грузо-пассажирского постоянного многостороннего пункта пропуска через государственную границу Российской Федерации Печоры Псковские (Псковская область)"
(Зарегистрирован 05.10.2015 № 39149)
Номер опубликования: 0001201510080010
Дата опубликования: 08.10.2015
Страница №3 из 6:
Увеличить