Приказ Федерального агентства по обустройству государственной границы Российской Федерации от 02.09.2015 № 212-ОД
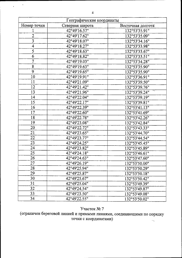
"Об утверждении пределов морского грузо-пассажирского постоянного многостороннего пункта пропуска через государственную границу Российской Федерации в морском порту Находка"
(Зарегистрирован 29.09.2015 № 39032)
"Об утверждении пределов морского грузо-пассажирского постоянного многостороннего пункта пропуска через государственную границу Российской Федерации в морском порту Находка"
(Зарегистрирован 29.09.2015 № 39032)
Номер опубликования: 0001201509300049
Дата опубликования:
30.09.2015
