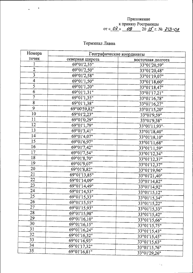
Приказ Федерального агентства по обустройству государственной границы Российской Федерации от 02.09.2015 № 213-ОД
"Об открытии морского грузо-пассажирского постоянного многостороннего пункта пропуска через государственную границу Российской Федерации в морском порту Мурманск"
(Зарегистрирован 25.09.2015 № 38998)
"Об открытии морского грузо-пассажирского постоянного многостороннего пункта пропуска через государственную границу Российской Федерации в морском порту Мурманск"
(Зарегистрирован 25.09.2015 № 38998)
Номер опубликования: 0001201509290011
Дата опубликования:
29.09.2015
