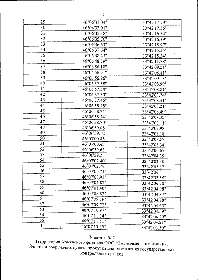
Приказ Федерального агентства по обустройству государственной границы Российской Федерации от 19.08.2015 № 206-ОД
"Об утверждении пределов железнодорожного грузо-пассажирского постоянного многостороннего пункта пропуска через государственную границу Российской Федерации Армянск (Республика Крым)"
(Зарегистрирован 25.08.2015 № 38667)
"Об утверждении пределов железнодорожного грузо-пассажирского постоянного многостороннего пункта пропуска через государственную границу Российской Федерации Армянск (Республика Крым)"
(Зарегистрирован 25.08.2015 № 38667)
Номер опубликования: 0001201508270004
Дата опубликования:
27.08.2015
