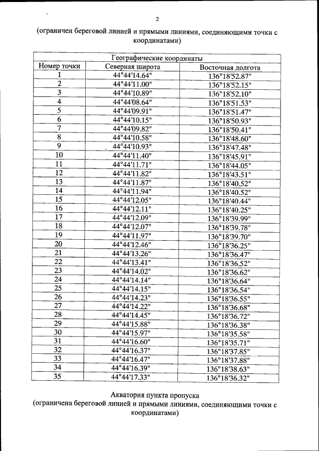
Приказ Федерального агентства по обустройству государственной границы Российской Федерации от 10.08.2015 № 193-ОД
"Об утверждении пределов морского грузового постоянного многостороннего пункта пропуска через государственную границу Российской Федерации в морском порту Ольга (Приморский край)"
(Зарегистрирован 20.08.2015 № 38604)
"Об утверждении пределов морского грузового постоянного многостороннего пункта пропуска через государственную границу Российской Федерации в морском порту Ольга (Приморский край)"
(Зарегистрирован 20.08.2015 № 38604)
Номер опубликования: 0001201508240047
Дата опубликования:
24.08.2015
