Официальное опубликование правовых актов
ОФИЦИАЛЬНОЕ ОПУБЛИКОВАНИЕ
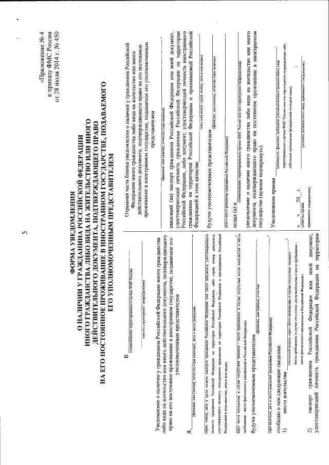
Приказ Федеральной миграционной службы от 20.07.2015 № 348
"О внесении изменений в приказ ФМС России от 28 июля 2014 г. № 450"
(Зарегистрирован 11.08.2015 № 38475)
Номер опубликования: 0001201508130047
Дата опубликования: 13.08.2015
Страница №5 из 10:
Увеличить