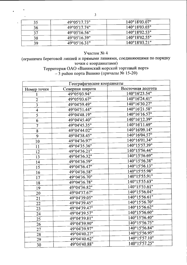
Приказ Федерального агентства по обустройству государственной границы Российской Федерации от 14.07.2015 № 172-ОД
"Об утверждении пределов морского грузового постоянного многостороннего пункта пропуска через государственную границу Российской Федерации в морском порту Ванино (Хабаровский край)"
(Зарегистрирован 28.07.2015 № 38239)
"Об утверждении пределов морского грузового постоянного многостороннего пункта пропуска через государственную границу Российской Федерации в морском порту Ванино (Хабаровский край)"
(Зарегистрирован 28.07.2015 № 38239)
Номер опубликования: 0001201507310031
Дата опубликования:
31.07.2015
