Официальное опубликование правовых актов
ОФИЦИАЛЬНОЕ ОПУБЛИКОВАНИЕ
Приказ Министерства культуры Российской Федерации от 08.07.2015 № 1941
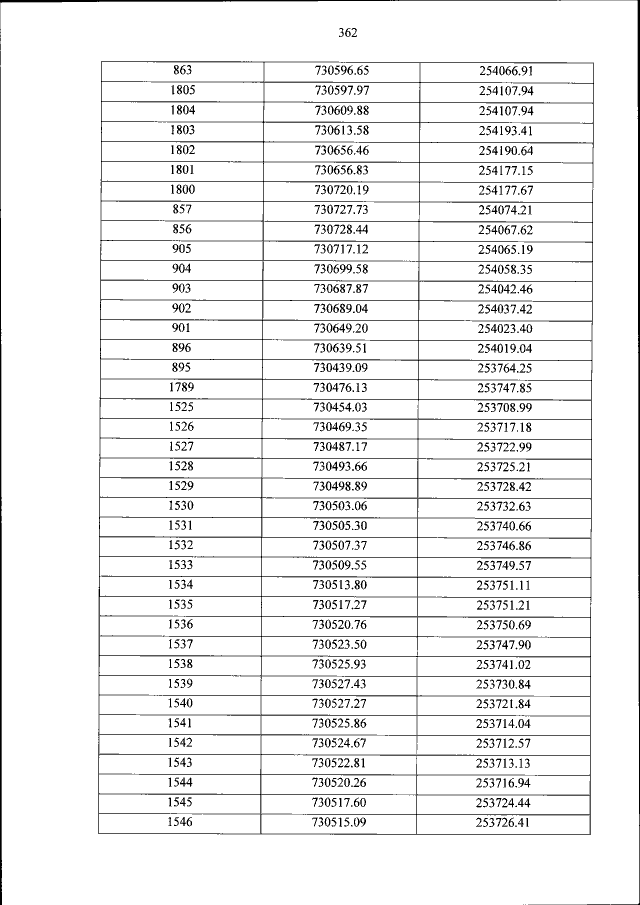
"Об утверждении требований к осуществлению деятельности и градостроительным регламентам в границах территории объекта культурного наследия федерального значения "Достопримечательное место, связанное с жизнью и творчеством Л.Н. Толстого - усадьба Ясная Поляна и её окрестности, п.п. ХІХ-нач. ХХ вв.", расположенного по адресу: Тульская область, Щёкинский район, Ленинский район, город Тула"
(Зарегистрирован 17.07.2015 № 38076)
Номер опубликования: 0001201507230012
Дата опубликования: 23.07.2015
Страница №362 из 467:
Увеличить