Официальное опубликование правовых актов
ОФИЦИАЛЬНОЕ ОПУБЛИКОВАНИЕ
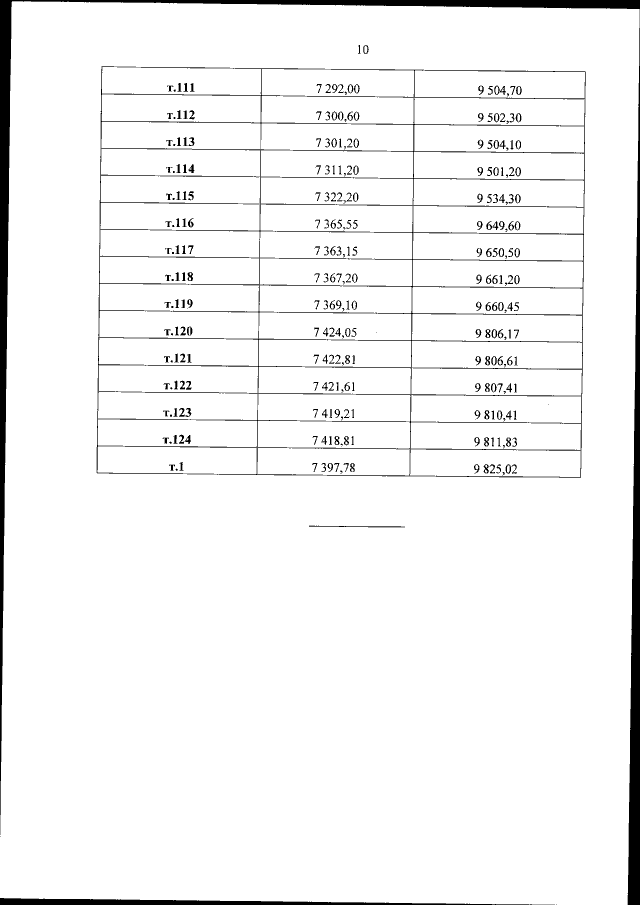
Приказ Министерства культуры Российской Федерации от 24.06.2015 № 1832
"Об утверждении границы и режима использования территории объекта культурного наследия федерального значения "Московский Кремль-ансамбль памятников архитектуры XV-XVI, ХVII, XVIII, ХІХ вв.", расположенного по адресу: г. Москва, Кремль"
(Зарегистрирован 10.07.2015 № 37971)
Номер опубликования: 0001201507140041
Дата опубликования: 14.07.2015
Страница №10 из 12:
Увеличить