Официальное опубликование правовых актов
ОФИЦИАЛЬНОЕ ОПУБЛИКОВАНИЕ
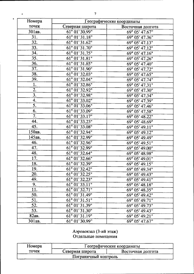
Приказ Федерального агентства по обустройству государственной границы Российской Федерации от 05.05.2015 № 105-ОД
"Об утверждении пределов воздушного грузо-пассажирского постоянного многостороннего пункта пропуска через государственную границу Российской Федерации в международном аэропорту Ханты-Мансийск (Ханты-Мансийский автономный округ-Югра)"
(Зарегистрирован 25.05.2015 № 37372)
Номер опубликования: 0001201505270016
Дата опубликования: 27.05.2015
Страница №8 из 9:
Увеличить