Официальное опубликование правовых актов
ОФИЦИАЛЬНОЕ ОПУБЛИКОВАНИЕ
Приказ Федеральной службы по тарифам от 29.04.2015 № 127-т/1
"Об утверждении платы за нахождение на железнодорожных путях общего пользования подвижного состава и правил ее применения (Тарифное руководство), а также о внесении изменений и дополнений в Правила применения ставок платы за пользование вагонами и контейнерами федерального железнодорожного транспорта (Тарифное руководство № 2), утвержденные постановлением Федеральной энергетической комиссии Российской Федерации от 19 июня 2002 года № 35/12"
(Зарегистрирован 26.05.2015 № 37379)
Номер опубликования: 0001201505270015
Дата опубликования: 27.05.2015
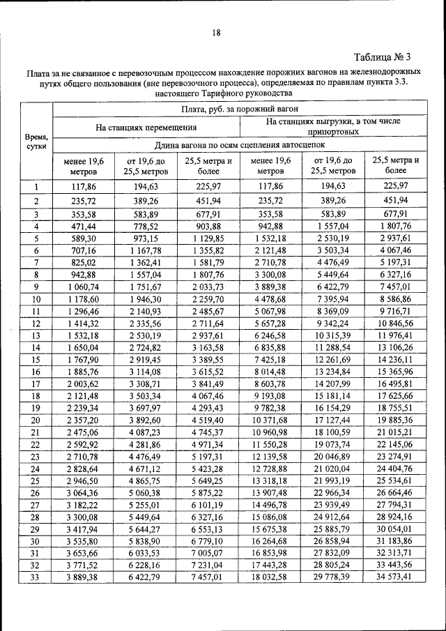
Страница №18 из 21:
Увеличить