Официальное опубликование правовых актов
ОФИЦИАЛЬНОЕ ОПУБЛИКОВАНИЕ
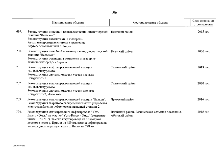
Распоряжение Правительства Российской Федерации от 06.05.2015 № 816-р
Номер опубликования: 0001201505150027
Дата опубликования: 15.05.2015
Страница №162 из 389:
Увеличить