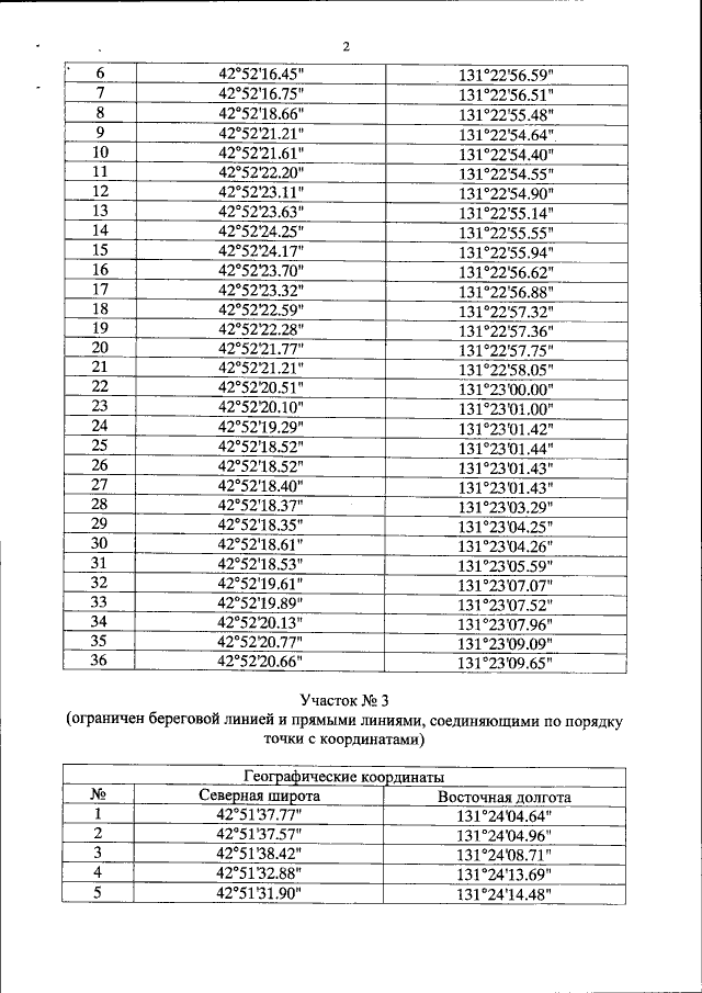
Приказ Федерального агентства по обустройству государственной границы Российской Федерации от 10.03.2015 № 55-ОД
"Об утверждении пределов морского грузо-пассажирского постоянного многостороннего пункта пропуска через государственную границу Российской Федерации в морском порту Посьет (Приморский край)"
(Зарегистрирован 16.04.2015 № 36874)
"Об утверждении пределов морского грузо-пассажирского постоянного многостороннего пункта пропуска через государственную границу Российской Федерации в морском порту Посьет (Приморский край)"
(Зарегистрирован 16.04.2015 № 36874)
Номер опубликования: 0001201504200030
Дата опубликования:
20.04.2015
