Приказ Федерального агентства по обустройству государственной границы Российской Федерации от 24.03.2015 № 68-ОД
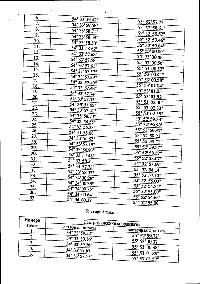
"Об утверждения пределов воздушного грузо-пассажирского постоянного многостороннего пункта пропуска через государственную границу в Российской Федерации в международном аэропорту Уфа (Республика Башкортостан)"
(Зарегистрирован 09.04.2015 № 36793)
"Об утверждения пределов воздушного грузо-пассажирского постоянного многостороннего пункта пропуска через государственную границу в Российской Федерации в международном аэропорту Уфа (Республика Башкортостан)"
(Зарегистрирован 09.04.2015 № 36793)
Номер опубликования: 0001201504140022
Дата опубликования:
14.04.2015
