Официальное опубликование правовых актов
ОФИЦИАЛЬНОЕ ОПУБЛИКОВАНИЕ
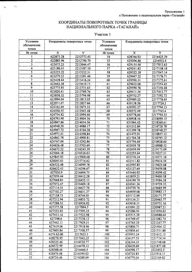
Приказ Министерства природных ресурсов и экологии Российской Федерации от 25.02.2015 № 71
"Об утверждении Положения о национальном парке "Таганай"
(Зарегистрирован 03.04.2015 № 36714)
Номер опубликования: 0001201504070066
Дата опубликования: 07.04.2015
Страница №10 из 21:
Увеличить