Официальное опубликование правовых актов
ОФИЦИАЛЬНОЕ ОПУБЛИКОВАНИЕ
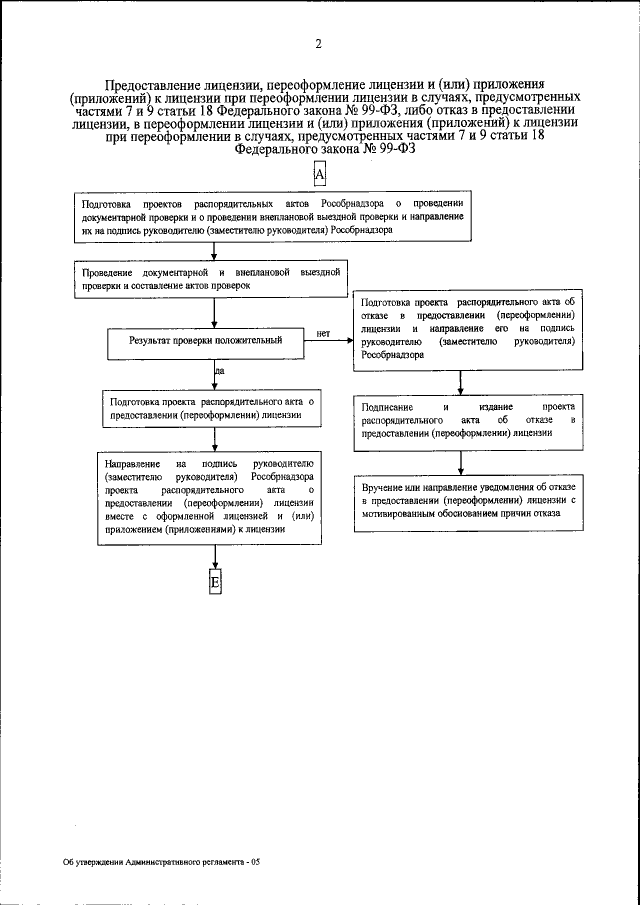
Приказ Министерства образования и науки Российской Федерации от 25.11.2014 № 1517
"Об утверждении Административного регламента предоставления Федеральной службой по надзору в сфере образования и науки государственной услуги по лицензированию образовательной деятельности"
(Зарегистрирован 11.03.2015 № 36401)
Номер опубликования: 0001201503120011
Дата опубликования: 12.03.2015
Страница №79 из 82:
Увеличить