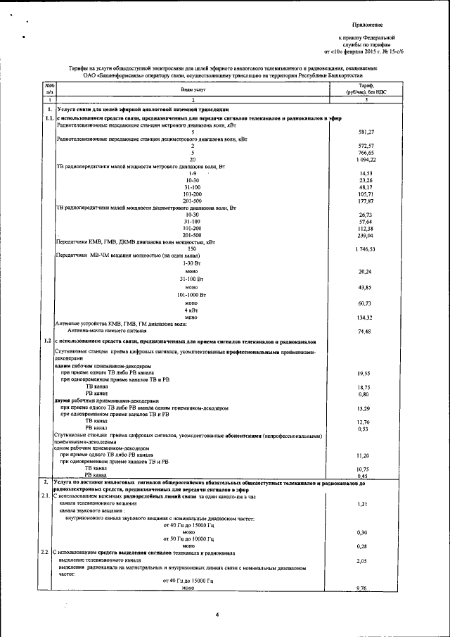
Приказ Федеральной службы по тарифам от 10.02.2015 № 15-с/6
"Об утверждении тарифов на услуги общедоступной электросвязи для целей эфирного аналогового телевизионного и радиовещания, оказываемые ОАО "Башинформсвязь" оператору связи, осуществляющему трансляцию на территории Республики Башкортостан"
(Зарегистрирован 05.03.2015 № 36377)
"Об утверждении тарифов на услуги общедоступной электросвязи для целей эфирного аналогового телевизионного и радиовещания, оказываемые ОАО "Башинформсвязь" оператору связи, осуществляющему трансляцию на территории Республики Башкортостан"
(Зарегистрирован 05.03.2015 № 36377)
Номер опубликования: 0001201503110006
Дата опубликования:
11.03.2015
