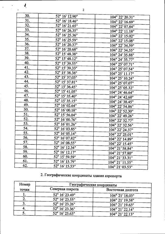
Приказ Федерального агентства по обустройству государственной границы Российской Федерации от 19.01.2015 № 13-ОД
"Об утверждении пределов воздушного грузо-пассажирского постоянного многостороннего пункта пропуска через государственную границу Российской Федерации в международном аэропорту Иркутск (Иркутская область)"
(Зарегистрирован 13.02.2015 № 36008)
"Об утверждении пределов воздушного грузо-пассажирского постоянного многостороннего пункта пропуска через государственную границу Российской Федерации в международном аэропорту Иркутск (Иркутская область)"
(Зарегистрирован 13.02.2015 № 36008)
Номер опубликования: 0001201502170002
Дата опубликования:
17.02.2015
