Официальное опубликование правовых актов
ОФИЦИАЛЬНОЕ ОПУБЛИКОВАНИЕ
Приказ Министерства культуры Российской Федерации от 26.12.2014 № 2449
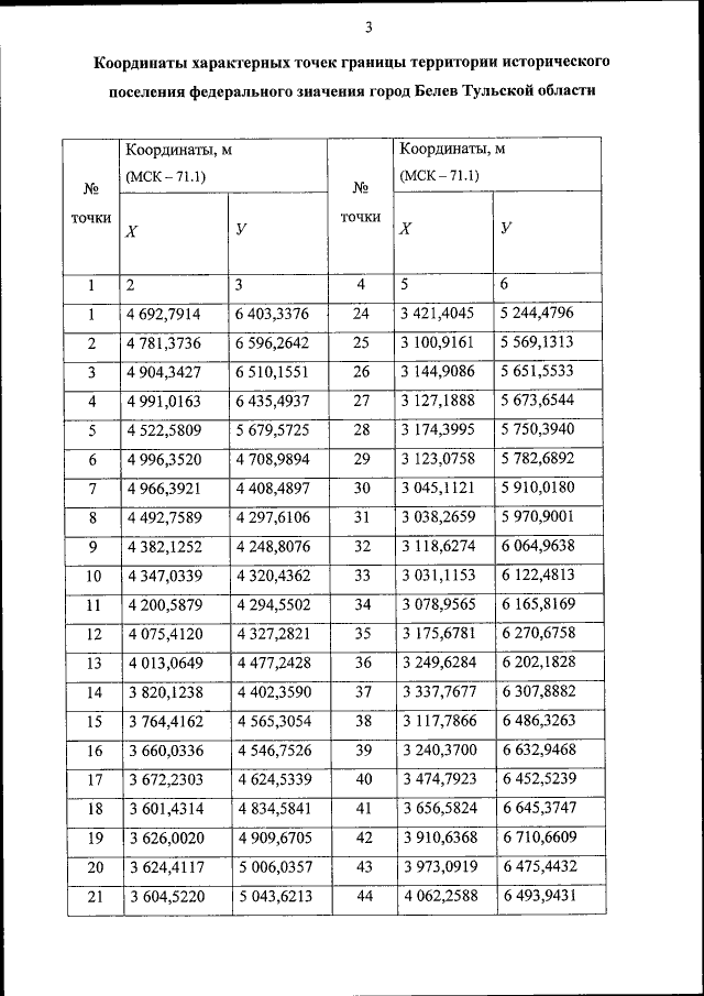
"О включении города Белева Тульской области в перечень исторических поселений федерального значения, утверждении границ территории и предмета охраны исторического поселения город Белев Тульской области"
(Зарегистрирован 10.02.2015 № 35959)
Номер опубликования: 0001201502120024
Дата опубликования: 12.02.2015
Страница №5 из 30:
Увеличить