Официальное опубликование правовых актов
ОФИЦИАЛЬНОЕ ОПУБЛИКОВАНИЕ
Приказ Министерства труда и социальной защиты Российской Федерации от 25.12.2014 № 1154н
"Об утверждении профессионального стандарта "Специалист по инструментальному обеспечению кузнечного производства"
(Зарегистрирован 29.01.2015 № 35770)
Номер опубликования: 0001201501300052
Дата опубликования: 30.01.2015
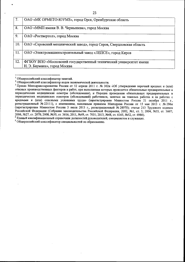
Страница №24 из 24:
Увеличить