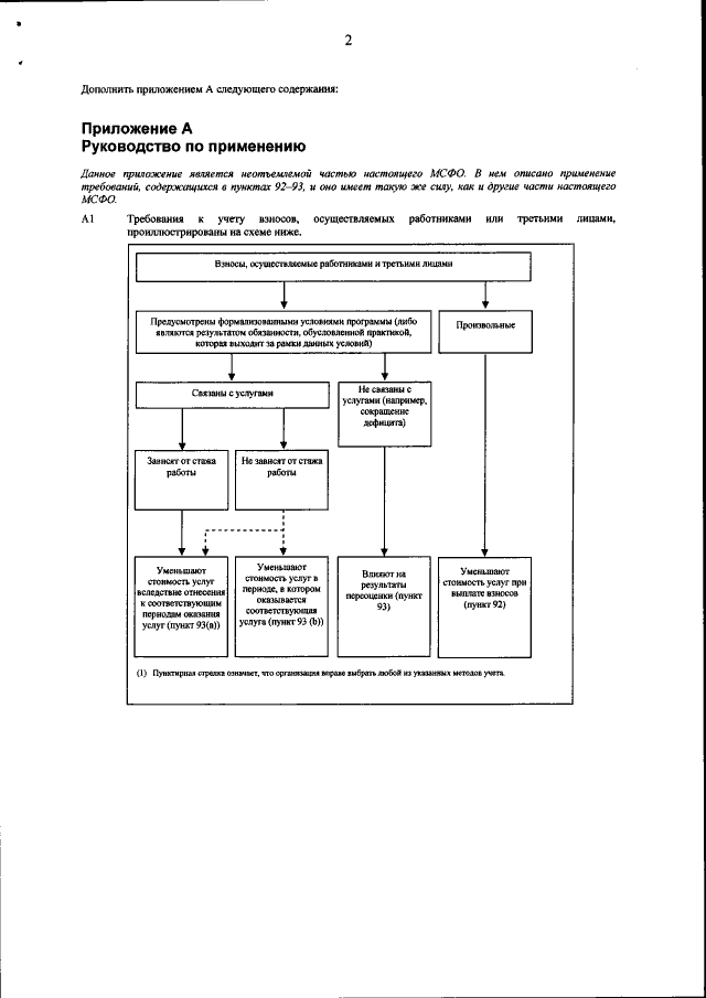
Приказ Министерства финансов Российской Федерации от 17.12.2014 № 151н
"О введении документов Международных стандартов финансовой отчетности в действие на территории Российской Федерации"
(Зарегистрирован 15.01.2015 № 35544)
"О введении документов Международных стандартов финансовой отчетности в действие на территории Российской Федерации"
(Зарегистрирован 15.01.2015 № 35544)
Номер опубликования: 0001201501150010
Дата опубликования:
15.01.2015
