Официальное опубликование правовых актов
ОФИЦИАЛЬНОЕ ОПУБЛИКОВАНИЕ
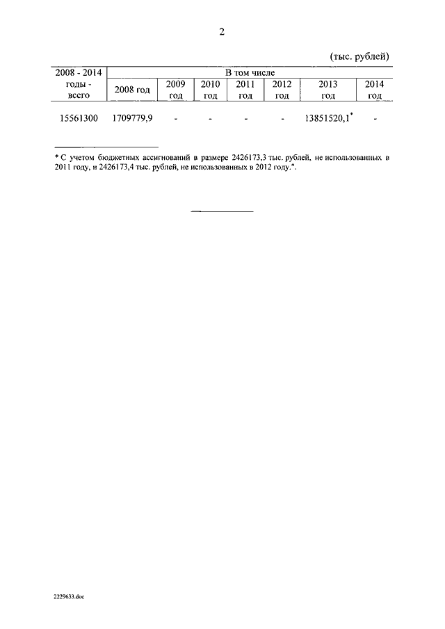
Постановление Правительства Российской Федерации от 21.12.2013 № 1208
"О внесении изменений в приложение № 2 к постановлению Правительства Российской Федерации от 29 декабря 2007 г. № 991"
Номер опубликования: 0001201312250006
Дата опубликования: 25.12.2013
Страница №3 из 3:
Увеличить