Официальное опубликование правовых актов
ОФИЦИАЛЬНОЕ ОПУБЛИКОВАНИЕ
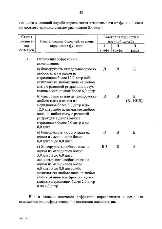
Постановление Правительства Российской Федерации от 04.07.2013 № 565
"Об утверждении Положения о военно-врачебной экспертизе"
Номер опубликования: 0001201307110016
Дата опубликования: 11.07.2013
Страница №99 из 203:
Увеличить