Официальное опубликование правовых актов
ОФИЦИАЛЬНОЕ ОПУБЛИКОВАНИЕ
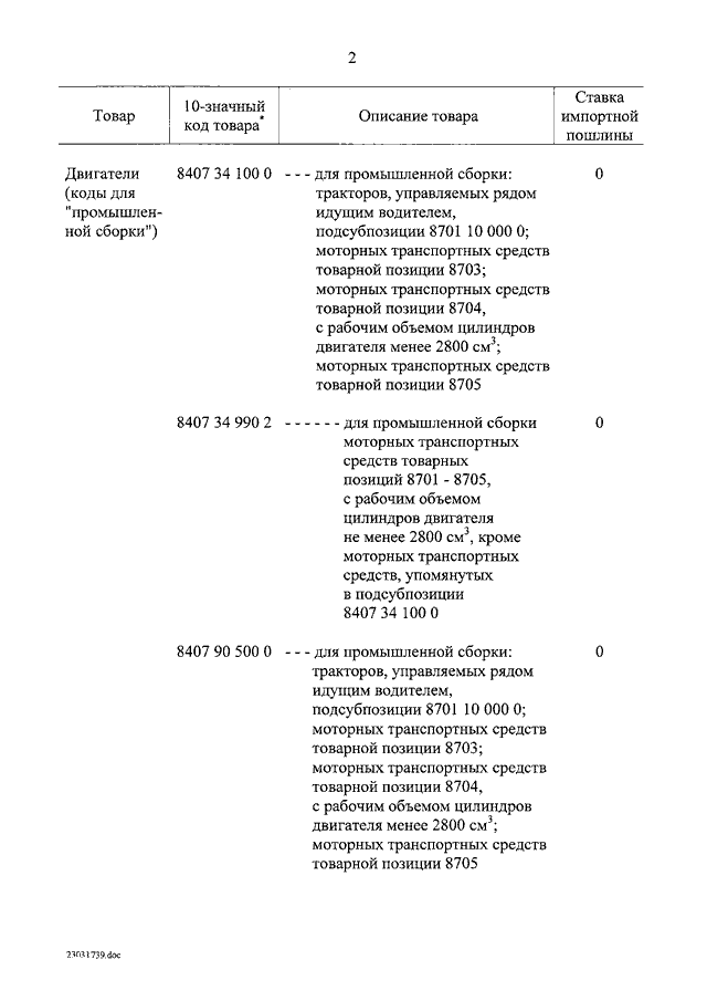
Распоряжение Правительства Российской Федерации от 08.04.2013 № 551-р
"О подписании Соглашения между Правительством Российской Федерации и Правительством Соединенных Штатов Америки о торговле между Российской Федерацией и Соединенными Штатами Америки узлами и агрегатами моторных транспортных средств"
Номер опубликования: 0001201304120005
Дата опубликования: 12.04.2013
Страница №14 из 74:
Увеличить