Официальное опубликование правовых актов
ОФИЦИАЛЬНОЕ ОПУБЛИКОВАНИЕ
Постановление Совета министров Республики Крым от 29.12.2022 № 1271
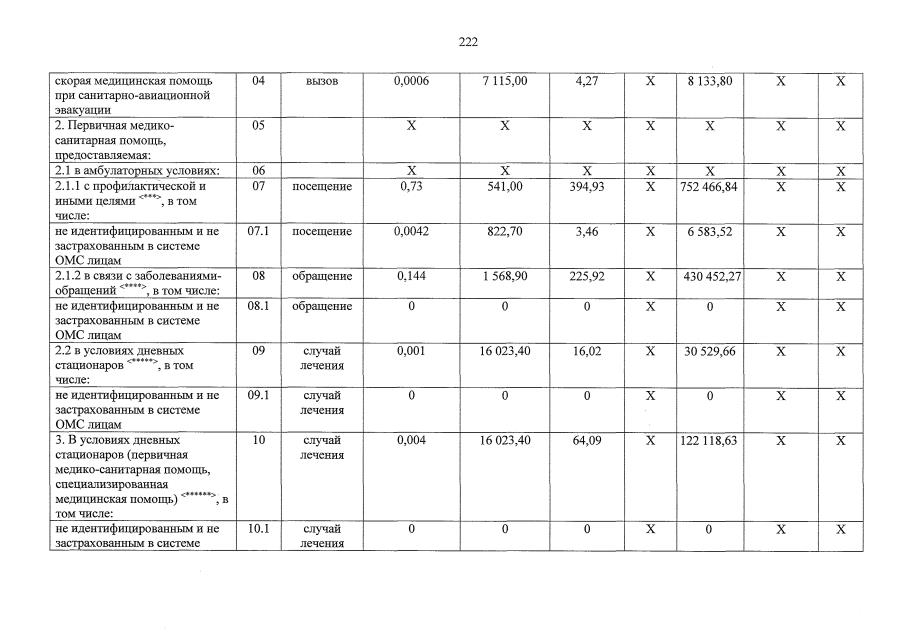
"Об утверждении Территориальной программы государственных гарантий бесплатного оказания гражданам медицинской помощи в Республике Крым на 2023 год и на плановый период 2024 и 2025 годов"
Номер опубликования: 9100202212300016
Дата опубликования: 30.12.2022
Страница №222 из 275:
Увеличить