Официальное опубликование правовых актов
ОФИЦИАЛЬНОЕ ОПУБЛИКОВАНИЕ
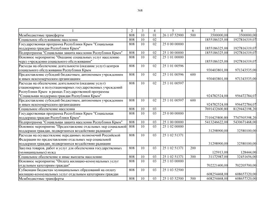
Закон Республики Крым от 16.06.2020 № 85-ЗРК/2020
"О внесении изменений в Закон Республики Крым "О бюджете Республики Крым на 2020 год и на плановый период 2021 и 2022 годов"
Номер опубликования: 9100202006180001
Дата опубликования: 18.06.2020
Страница №368 из 973:
Увеличить