Официальное опубликование правовых актов
ОФИЦИАЛЬНОЕ ОПУБЛИКОВАНИЕ
Указ Главы Республики Крым от 08.05.2020 № 146-У
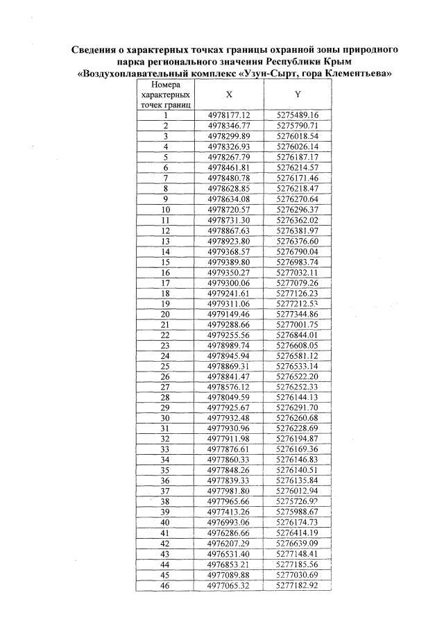
"Об установлении охранной зоны природного парка регионального значения Республики Крым "Воздухоплавательный комплекс "Узун-Сырт, гора Клементьева"
Номер опубликования: 9100202005130009
Дата опубликования: 13.05.2020
Страница №3 из 8:
Увеличить