Официальное опубликование правовых актов
ОФИЦИАЛЬНОЕ ОПУБЛИКОВАНИЕ
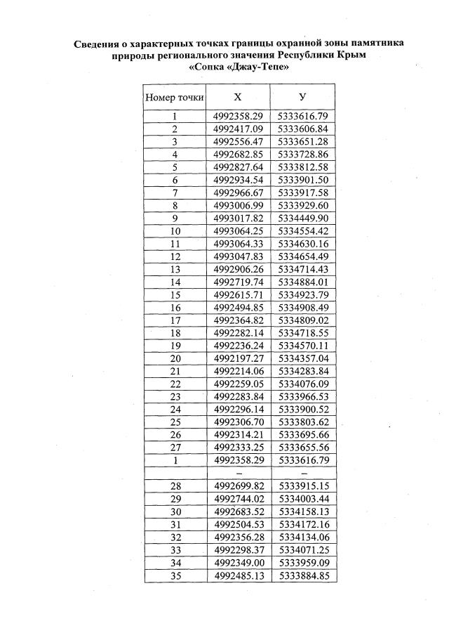
Указ Главы Республики Крым от 08.05.2020 № 150-У
"Об установлении охранной зоны памятника природы регионального значения Республики Крым "Сопка "Джау-Тепе"
Номер опубликования: 9100202005130002
Дата опубликования: 13.05.2020
Страница №3 из 7:
Увеличить