Официальное опубликование правовых актов
ОФИЦИАЛЬНОЕ ОПУБЛИКОВАНИЕ
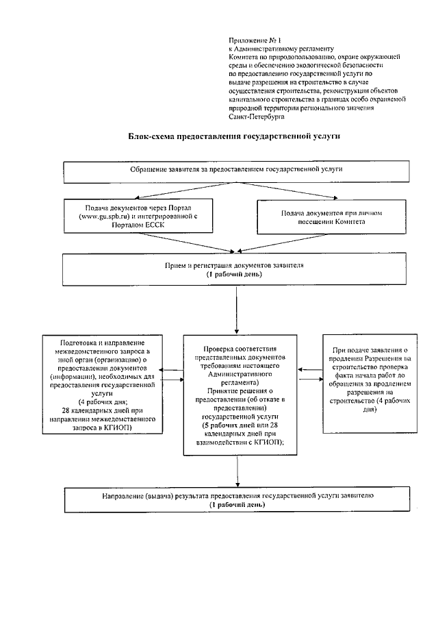
Распоряжение Комитета по природопользованию, охране окружающей среды и обеспечению экологической безопасности Санкт-Петербурга от 10.09.2019 № 523-р
"Об утверждении Административного регламента Комитета по природопользованию, охране окружающей среды и обеспечению экологической безопасности по предоставлению государственной услуги по выдаче разрешения на строительство объекта капитального строительства, строительство, реконструкцию которого планируется осуществлять в границах особо охраняемой природной территории регионального значения Санкт-Петербурга"
Номер опубликования: 7801201909130003
Дата опубликования: 13.09.2019
Страница №56 из 79:
Увеличить