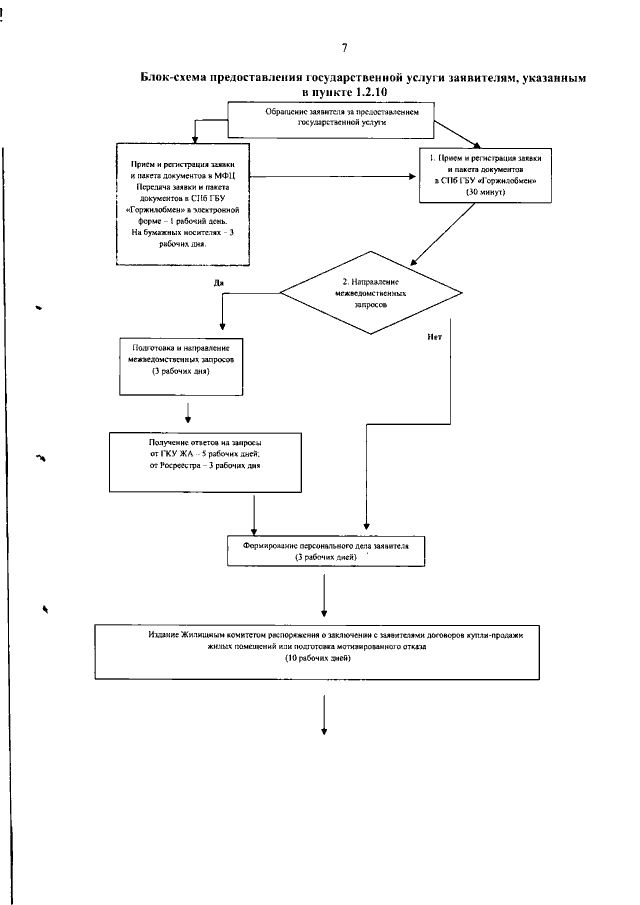
Распоряжение Жилищного комитета Санкт-Петербурга от 10.09.2019 № 1459-р
"Об утверждении Административного регламента Жилищного комитета по предоставлению государственной услуги по принятию решений о продаже жилых помещений государственного жилищного фонда Санкт-Петербурга гражданам и юридическим лицам целевым назначением по основаниям, предусмотренным законодательством"
"Об утверждении Административного регламента Жилищного комитета по предоставлению государственной услуги по принятию решений о продаже жилых помещений государственного жилищного фонда Санкт-Петербурга гражданам и юридическим лицам целевым назначением по основаниям, предусмотренным законодательством"
Номер опубликования: 7801201909130002
Дата опубликования:
13.09.2019
