Официальное опубликование правовых актов
ОФИЦИАЛЬНОЕ ОПУБЛИКОВАНИЕ
Распоряжение Комитета имущественных отношений Санкт-Петербурга от 24.08.2018 № 104-р
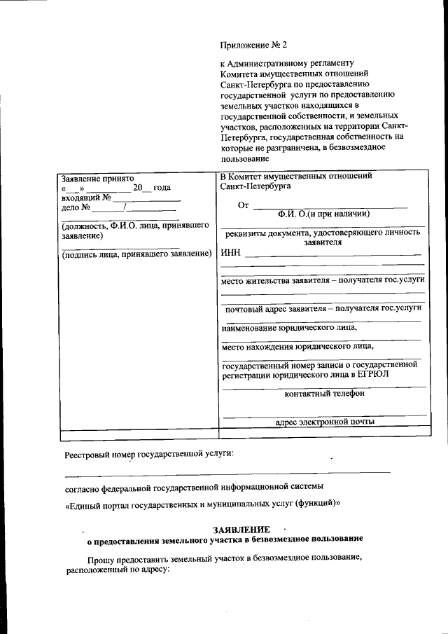
"Об утверждении Административного регламента Комитета имущественных отношений Санкт-Петербурга по предоставлению государственной услуги по предоставлению земельных участков, находящихся в государственной собственности Санкт-Петербурга, и земельных участков, расположенных на территории Санкт-Петербурга, государственная собственность на которые не разграничена, в безвозмездное пользование"
Номер опубликования: 7801201808280012
Дата опубликования: 28.08.2018
Страница №42 из 63:
Увеличить