Официальное опубликование правовых актов
ОФИЦИАЛЬНОЕ ОПУБЛИКОВАНИЕ
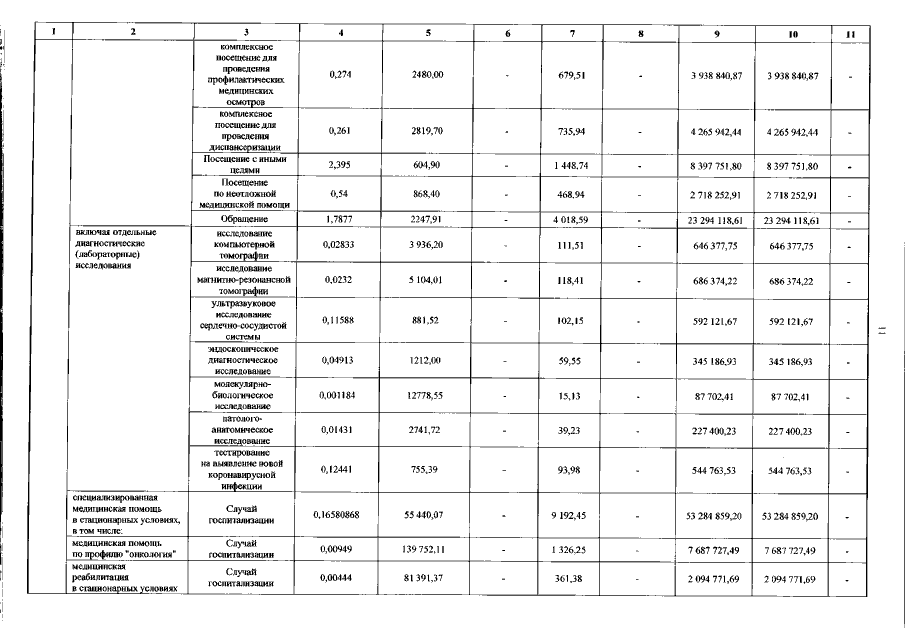
Закон Санкт-Петербурга от 18.12.2020 № 620-134
"О Территориальной программе государственных гарантий бесплатного оказания гражданам медицинской помощи в Санкт-Петербурге на 2021 год и на плановый период 2022 и 2023 годов"
Номер опубликования: 7800202012220003
Дата опубликования: 22.12.2020
Страница №106 из 115:
Увеличить