Официальное опубликование правовых актов
ОФИЦИАЛЬНОЕ ОПУБЛИКОВАНИЕ
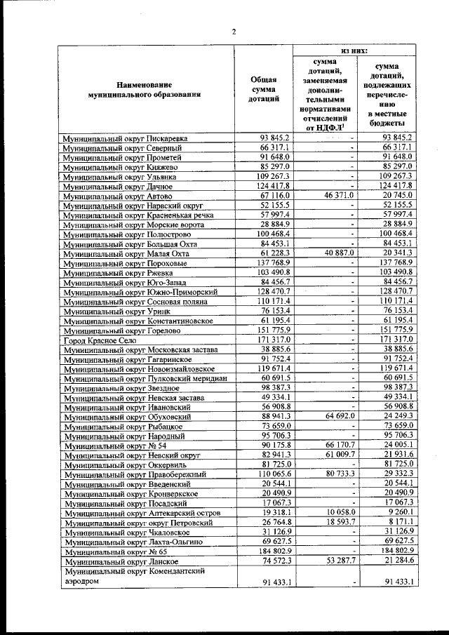
Закон Санкт-Петербурга от 26.11.2020 № 549-114
"О бюджете Санкт-Петербурга на 2021 год и на плановый период 2022 и 2023 годов"
Номер опубликования: 7800202012040002
Дата опубликования: 04.12.2020
Страница №1432 из 1509:
Увеличить