Официальное опубликование правовых актов
ОФИЦИАЛЬНОЕ ОПУБЛИКОВАНИЕ
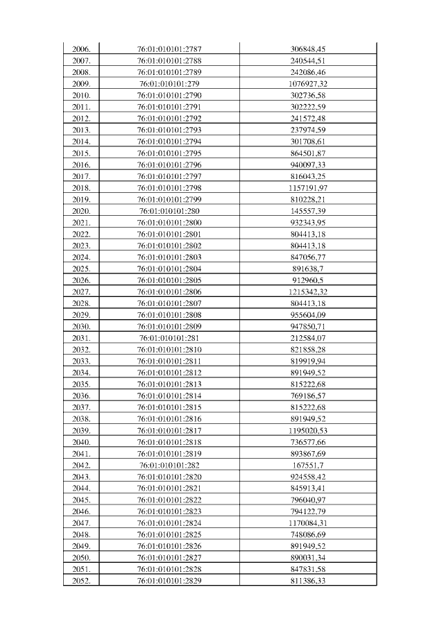
Приказ Департамента имущественных и земельных отношений Ярославской области от 21.10.2019 № 20-н
"Об утверждении результатов определения кадастровой стоимости объектов недвижимости, за исключением земельных участков, земельных участков категории земель "земли населенных пунктов", земельных участков категории земель "земли промышленности, энергетики, транспорта, связи, радиовещания, телевидения, информатики, земли для обеспечения космической деятельности, земли обороны, безопасности и земли иного специального назначения", расположенных на территории Ярославской области"
(Зарегистрирован 22.10.2019 № 16-9411)
Номер опубликования: 7601201911190001
Дата опубликования: 19.11.2019
Страница №46 из 31520:
Увеличить